求导公式是什么(函数求导公式大全)

求导公式是什么, 导数公式是什么?让我们互相了解一下。

求导是数学计算中的一种计算方法,导数定义为自变量的增量趋于零时,因变量的增量与自变量的增量之商的极限。

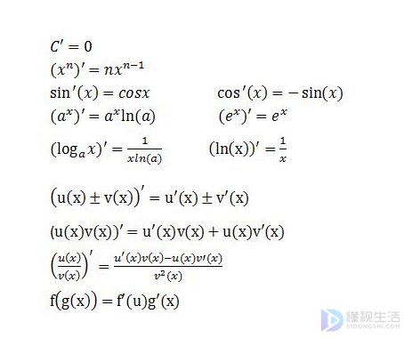
求导公式分为初等函数求导公式、四则运算公式、复合函数求导规则公式、参数方程确定函数求导公式、反函数求导公式、高阶求导公式、变上限积分函数求导公式;基本初等函数的推导公式:

(C)=0;(x^a)=ax^(a-1);(a^x)=(a^x)lna,a>0,a1;(e^x)=e^x;[logax]=1/[xlna],a>0,

a1;(lnx)=1/x;(sinx)=cosx;(cosx)=-sinx

(tanx)=(secx)^2;(cotx)=-(cscx)^2;(arcsinx)=1/(1-x^2)

(arccosx)=-1/(1-x^2);(arctanx)=1/(1 x^2);(arccotx)=-1/(1 x^2)

四则运算公式:(u v)=u v;(u-v)=u-v;(uv)=uv uv;(u/v)=(uv-uv)/v^2

复合函数求导法则公式:y=f(t),t=g(x);dy/dx=f(t)*g(x)

参数方程决定函数的求导公式:x=f(t),y=g(t),dy/dx=g(t)/f(t)。

反函数的推导公式:y=f(x),x=g(y)是反函数,那么f(x)*g(y)=1。

高阶导数公式:f n 1 (x)=[f n (x)]

变上限积分函数的求导公式:[a,xf(t)dt]=f(x)

函数求导公式大全

今天的分享到此结束。希望能帮到你。

求导公式是什么,以上就是本文为您收集整理的求导公式是什么最新内容,希望能帮到您!更多相关内容欢迎关注。

免责声明:本站所有文章内容,图片,视频等均是来源于用户投稿和互联网及文摘转载整编而成,不代表本站观点,不承担相关法律责任。其著作权各归其原作者或其出版社所有。如发现本站有涉嫌抄袭侵权/违法违规的内容,侵犯到您的权益,请在线联系站长,一经查实,本站将立刻删除。

本文来自网络,若有侵权,请联系删除,如若转载,请注明出处:https://www.freetrip88.com/baike/291068.html

      
上一篇 2023-09-13
下一篇 2023-09-13
相关推荐